在用python处置数据的时辰,经常会碰到一些数据量纲可能分歧,这就需要我们进行数据的规范化处置,下面就是介绍规范化的具体介绍
工具/原料
- 笔记本电脑
- python2.7
方式/步骤
- 1
首先,我们双击打开python软件,进入软件的本家儿界面,如图所示:


- 2
python的第三方库筹办,如图:

- 3
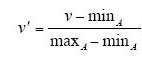
此刻我们就可以进行具体的数据规范化处置了,先介绍最小最年夜规范化,如图所示:



- 4
再介绍零均值规范化,如图所示:


- 5
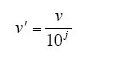
最后介绍小数定标规范化处置,如图所示:

注重事项
- 在进行相关的数据处置之前,必需先安装好响应的第三方库







