工具/原料
- 联想2020
- Win11
方式/步骤
- 1
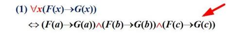
我们在要消去全称或存在量词,首先会给定一个区域。

- 2
然后我们就能代入消去量词。

- 3
这时辰,我们可以将a这个值先代入谓词公式。

- 4
然后把b这个量词也带入公式。

- 5
再把c这个别域也带入公式。

- 6
这样子,我们把各自的个别域全数带入即可。
END
注重事项
- 不会利用的同窗可以给我留言。
我们在要消去全称或存在量词,首先会给定一个区域。

然后我们就能代入消去量词。

这时辰,我们可以将a这个值先代入谓词公式。

然后把b这个量词也带入公式。

再把c这个别域也带入公式。

这样子,我们把各自的个别域全数带入即可。
END1小时前0阅读
1小时前0阅读
1小时前0阅读
1小时前0阅读
1小时前0阅读
1小时前0阅读
1小时前0阅读
1小时前0阅读
1小时前0阅读
2小时前0阅读